Duvillard
Duvillard : une importante contribution à la mathématique sociale…
Emmanuel-Etienne Duvillard de Durand (1755-1832), mathématicien et premier actuaire français, contribua de manière importante à la mathématique sociale et en particulier à la modélisation mathématique de la mortalité. L'INED publie aujourd'hui dans les « Classiques de l'économie et de la population » la transcription d'un manuscrit demeuré inédit offrant une brillante synthèse de ses travaux dans ce domaine.
Disciple de Condorcet, apprécié de Laplace, Lagrange et Legendre, Duvillard entend bien donner à la statistique des populations une dimension probabiliste. Le manuscrit publié par l'INED, rédigé en 1813, traite de la mortalité dans la lignée des travaux du grand mathématicien Lambert. Duvillard tente aussi d'appliquer les principes du calcul des probabilités à la science des populations ; il pose ainsi les fondements théoriques d'une évaluation précise des limites entre lesquelles on peut estimer avec une certaine probabilité le nombre d'individus constituant une population. Duvillard entreprend de construire une équation qui décrirait au mieux l'extinction progressive d'une génération humaine.
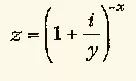
La formule la plus simple qu'il trouve pour exprimer le processus de mortalité est :
- z représente le nombre des survivants,
- x est un âge donné,
- i est une mesure de la mortalité (« rapport des morts aux vivants » par rapport à l'unité),
- y exprime la variation de la force de mortalité à chaque âge.
Giorgio Israel - membre de l'Académie internationale d'histoire des sciences, du comité exécutif de la Commission internationale d'Histoire des Mathématiques et directeur du centre de Recherche en méthodologie des Sciences à l'université de Rome La Sapienza - et Luca Dell'Aglio - historien des sciences et professeur de Mathématiques à l'Université de Calabre - ont découvert ces archives, les ont patiemment défrichées et ont transcrit ce manuscrit, accomplissant un véritable travail de mémoire avec une volonté affichée de rendre justice à un personnage hors normes pour lui redonner la place qu'il mérite : à défaut d'un fauteuil académique, un siège d'honneur dans l'histoire des sciences.

